IVORC
  • Register
  • Login

Medical hypothesis discovery and innovation in ophthalmology

  1. Home
  2. Archives
  3. Vol. 13 No. 2 (2024): Summer 2024
  4. Articles

About the Journal

Editorial Team

Privacy Statement

Contact

Refractive surgery to correct visual impairments in 267 children with autism spectrum and related neuro-developmental disorders: improvements in vision and behavior

  • Margaret Reynolds
  • Nicholas Faron
  • James Hoekel
  • Lawrence Tychsen

Medical hypothesis discovery and innovation in ophthalmology, Vol. 13 No. 2 (2024), 14 August 2024 , Page 88-95
https://doi.org/10.51329/mehdiophthal1499 Published 14 August 2024

  • View Article
  • Download
  • Share

Abstract

Background: Children with autism spectrum disorder (ASD) may have impaired vision owing to high refractive errors and aversion to spectacles or contact lenses. Visual blurring is caused by near-sighted myopia, far-sighted hyperopia, or astigmatism in one or both eyes. Refractive surgery can restore sharp vision and eliminate the need for spectacles and contact lenses. Restoration of sharp vision may improve ASD behavior. We aimed to determine the refractive outcomes in this cohort using ophthalmic measures and behavioral and school performance alterations after refractive surgery by employing parent–proxy reports.
Methods: This interventional, retrospective case series included data from 267 children with refractive errors and neurodevelopmental disorders (NDDs) diagnosed as ASD alone or NDD with ASD-like behaviors over a 15-year period. One of three refractive surgery methods was employed, with the choice of method uniquely tailored to the child’s eye anatomy. Laser photorefractive keratectomy (PRK) was performed in 131 children, implantation of a phakic intraocular lens (pIOL) in 115 children, and removal of the crystalline lens and implantation of an intraocular lens (refractive lens exchange, RLE) in 21 children. All procedures were performed under brief general anesthesia, with the child returning home on the same day.
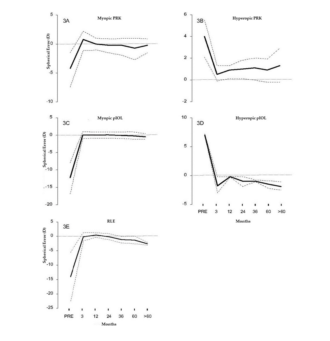
Results: The median age at surgery was 10.9 years and the median follow-up period was 3.1 years. Pre-operative refractive errors ranged from a mean (standard deviation) +7.5 (0.09) D to -14.3 (4.8) D. Surgery corrected 87% of the children to normal focal length (± 1 D). Visual acuity improved an average of 0.6 logarithm of the minimum angle of resolution, the equivalent of 6 lines on a standard eye chart. Change in visual acuity was significant (all P < 0.01) between baseline and the most recent follow-up examination in each of subgroups. Change in spherical equivalent refractive error at 3, 12, 24, 36, 60, and > 60 months post-operatively were significant (all P < 0.01) between baseline and each follow-up visit in each of subgroups. Social interactions and ASD behaviors improved in 72% (192) of the treated children (P < 0.01). The incidence of sight-threatening complications was low.
Conclusions: Refractive surgery improves both visual function and behavior in most children with ASD and major myopia, hyperopia, or astigmatism. The PRK, pIOL, and RLE procedures appear to be effective and reasonably safe methods for improving refractive error, visual acuity, and behavior in many ametropic children with ASD and ASD-like NDDs.
  • Full Text PDF
  • Abstract Viewed: 0 times
  • Full Text PDF Downloaded: 0 times

Download Statastics

  • Linkedin
  • Twitter
  • Facebook
  • Google Plus
  • Telegram
Open Journal Systems
Current Issue
  • Atom logo
  • RSS2 logo
  • RSS1 logo
Information
  • For Readers
  • For Authors
  • For Librarians
  • Home
  • Archives
  • Submissions
  • About the Journal
  • Editorial Team
  • Contact

ISSN: 2322-3219

This is an open-access journal distributed under the terms of the Creative Commons Attribution-NonCommercial 4.0 International (CC BY-NC 4.0).
© Copyright 2012-2025, CC BY-NC 4.0. All Rights Reserved.