IVORC
  • Register
  • Login

Medical hypothesis discovery and innovation in ophthalmology

  1. Home
  2. Archives
  3. Vol. 14 No. 2 (2025): Summer 2025
  4. Articles

About the Journal

Editorial Team

Privacy Statement

Contact

A comparative study and review of visual outcomes with enhanced versus standard monofocal intraocular lenses following cataract surgery

  • Triston B. Crook
  • Mina M. Sitto
  • Ethan J. Lindberg
  • Phillip C. Hoopes
  • Majid Moshirfar

Medical hypothesis discovery and innovation in ophthalmology, Vol. 14 No. 2 (2025), 31 July 2025 , Page 28-39
https://doi.org/10.51329/mehdiophthal1521 Published 31 July 2025

  • View Article
  • Download
  • Share

Abstract

Background: Recent innovations in intraocular lens (IOL) design have introduced extended depth of focus lenses, which has shown promise in improving visual acuity at multiple distances while preserving the distance vision provided by a standard monofocal IOL. This study aimed to evaluate the visual outcomes of TECNIS Eyhance, a monofocal IOL with enhanced intermediate function, and a standard TECNIS monofocal 1-piece IOL, and to review published studies comparing the clinical performance between the TECNIS Eyhance and standard IOLs.
Methods: A retrospective analysis was conducted on patients who underwent cataract extraction with bilateral implantation of either TECNIS Eyhance IOLs or TECNIS Monofocal 1-Piece IOLs. Primary outcomes included monocular and binocular uncorrected distance visual acuity (UDVA), uncorrected near visual acuity (UNVA), and corrected distance visual acuity (CDVA), and manifest refraction. Outcomes such as glare, halos, and dry eye were also assessed. A literature review was performed to identify studies evaluating the clinical outcomes of TECNIS Eyhance and standard TECNIS monofocal IOLs.
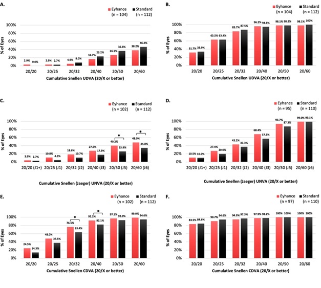
Results: In total 108 patients (216 eyes) underwent bilateral implantation with either TECNIS Eyhance (104 eyes) or TECNIS Monofocal 1-Piece (112 eyes) IOLs. The mean (standard deviation [SD]) binocular UNVA was better in the Eyhance group at 1 month (0.18 [0.13] logMAR) compared to the standard monofocal group (0.24 [0.14] logMAR; P < 0.05). A greater proportion of Eyhance patients achieved binocular UNVA of 20/25 or better (46.9% vs 21.8%; P < 0.01), and 20/32 or better (65.3% vs 45.5%; P < 0.05). However, there was no significant difference for 20/20 visual acuity (20.4% vs 18.2%; P > 0.05). No significant differences were observed in postoperative UDVA or CDVA between groups (both P > 0.05). The mean (SD) monocular UNVA showed a slight, but non-significant, advantage in the Eyhance group (0.26 [0.15] logMAR vs 0.29 [0.15] logMAR; P > 0.05). Eyhance eyes demonstrated less residual refractive cylinder at 1 month (P < 0.01), which may be attributed to a higher rate of toric IOL use (P < 0.01). Patient-reported visual symptoms did not differ between groups. Thirteen studies were identified that compared the Eyhance and standard monofocal IOLs. Across the studies analyzed, the Eyhance group showed better monocular and binocular UNVA with mean (SD) differences of - 0.10 (0.20) logMAR and - 0.10 (0.21) logMAR, respectively (both P < 0.01), as well as improved binocular uncorrected intermediate visual acuity (UIVA) (mean difference [SD]: -0.10 [0.18] logMAR; P < 0.01). These studies also showed low rates of glare and halos for both IOLs.
Conclusions: Patients receiving the TECNIS Eyhance IOL had better binocular UNVA compared to those with a standard monofocal IOL, consistent with published literature. The Eyhance IOL also showed better binocular UIVA and monocular UNVA across the studies reviewed. Both enhanced and standard monofocal IOLs demonstrate excellent distance vision and have similar levels of photic phenomena. Nevertheless, the Eyhance IOL shows promising potential for improving intermediate and near vision.
  • Full Text PDF
  • Abstract Viewed: 0 times
  • Full Text PDF Downloaded: 0 times

Download Statastics

  • Linkedin
  • Twitter
  • Facebook
  • Google Plus
  • Telegram
Open Journal Systems
Current Issue
  • Atom logo
  • RSS2 logo
  • RSS1 logo
Information
  • For Readers
  • For Authors
  • For Librarians
  • Home
  • Archives
  • Submissions
  • About the Journal
  • Editorial Team
  • Contact

ISSN: 2322-3219

This is an open-access journal distributed under the terms of the Creative Commons Attribution-NonCommercial 4.0 International (CC BY-NC 4.0).
© Copyright 2012-2025, CC BY-NC 4.0. All Rights Reserved.